一.梯度下降算法公式

数学理解:
:= : 这个符号是赋值符号;
= : 这个符号是等于符号;注:这两符号的意义与其他语言符号的意义不同
α : α在梯度下降算法中被称作为学习率或者步长,意味着我们可以通过α来控制每一步走的距离即它控制我们用多大的幅度来更新θj。例如在下山的例子中,它控制下山的速率,不能太快错过最低点。也不能太慢,太阳下山了,还没到山脚。因此,选择适当的α 很重要。选好了α 就不会变。
横线下是公式的解题步骤:
注:Correct:Simultaneous update(正确的:同时更新);Incorrect:(错误的)。
通过对比两个步骤我们可以得到参数θ0和θ1要同时更新,这样才算是正确的梯度下降。
下面进一步认识公式:
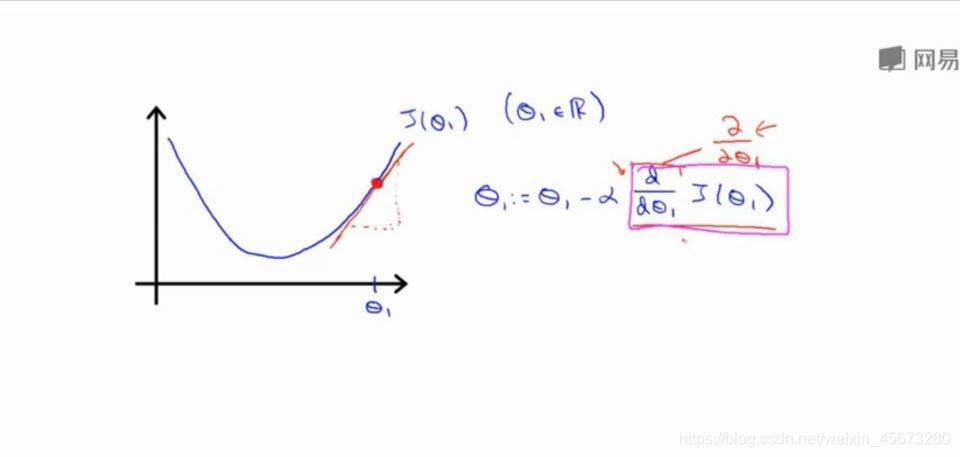
假设只有一个参数θ1,并且假设图像如下图所示。
从图像可以看到最低点,用梯度下降该如何求呢? 首先假设θ1从最低点的右侧开始对图像进行初始化,函数的梯度(导数,看斜率)大于0,α是速率,大于0,这个时候,新的θ1小于上一个θ1。
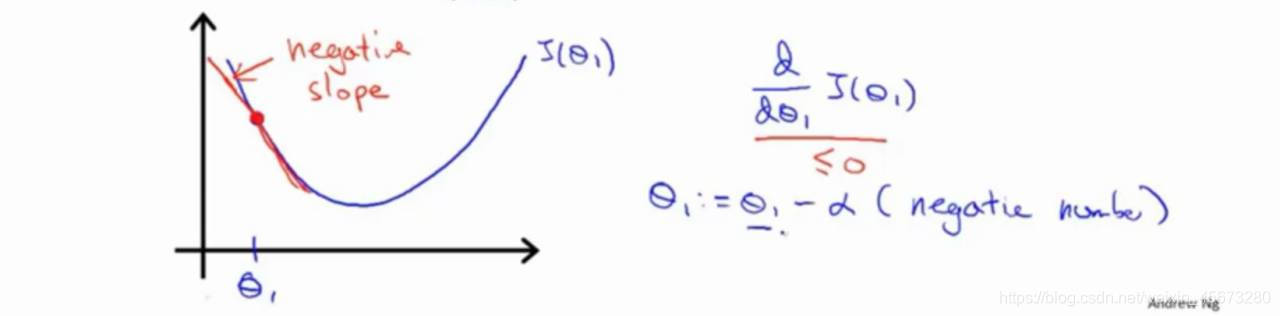
同理,如果θ1从最低点的左侧开始对图像进行初始化,函数的导数小于0,α是速率,大于0,这个时候,新的θ1大于上一个θ1。 当然,如果恰好θ1就是最小值,那这个时候,导数等于0,θ1的值就不会变了。
α选取是随意的,太小或太大会出现不同的情况。α选取太小会导致下太慢,选取太大会导致偏离最低点,最后无法收敛。如图所示:
下图,是正确运用梯度下降算法的图像: